13964301235
常规型催化剂

Regular Voc Catalyst

当前位置: 首页 > 产品展示 > 常规型催化剂

高效蜂窝VOCs催化剂

  • 常用规格:100mm×100mm×50mm / 150mm×150mm×50mm
  • 贵金含量:150g-600g/m³ 可根据客户要求定制贵金属含量
  • 推荐空速:5000-20000h ⁻¹
  • 适用浓度:≤8000mg/m³
  • 应用行业:制药、喷涂、电子、油气存储、石化、化工等行业
  • 定制项目:载体材质及尺寸,贵金属成分含量等
基础信息

产品型号

RT101

厂商性质

按单生产

发布时间

2020-04-16

浏览次数

详细介绍

挥发性有机化合物(VOC)的排放是造成空气污染的主要因素之一。 VOCs的来源多种多样,主要来源是各种工业生产过程中的废气排放。将导致严重的大气环境问题,制约社会经济的可持续发展。

催化氧化是将 VOC 氧化成 CO2、水和其他危害相对较小的化合物的最有效且经济可行的技术之一。催化氧化的目标是完全破坏 VOC。在这种方法中,VOC 在合适的催化剂存在下,在比热氧化过程低得多的温度(250–500 °C)下被氧化。

贵金属催化剂具有反应活性高、稳定性好、抗中毒能力强、易于再生等优点,是VOCs催化氧化常用的催化剂之一。

高效贵金属蜂窝VOCs催化剂RT101

贵金属VOCs蜂窝催化剂高效贵金属蜂窝VOCs催化剂EP101是一款专为有机废气治理而设计的高效催化材料,采用高活性贵金属成分负载于堇青石或金属蜂窝载体上,结构规则、比表面积大,气体流通性强,适用于各类低浓度、大风量的VOCs处理场景。

优异的贵金属上载率及分散度

采用独特的制备工艺,可保证贵金属含量,并使贵金属在载体表面高度分散,有效增加活性位数量,从而保证催化效率;添加稀土氧化物提等助剂调变表面酸碱性,升热稳定性,改善存储氧性能,使催化剂具有良好的低温催化活性和抗中毒能力。

优良的VOCs催化性能

针对不同类型污染物,如含氧类、不饱和烃类、不饱和烃类、三苯类、链烃类等VOCs污染物,以及H₂、CO、甲醛等小分子类污染物,对配方进行相应调整,使之具备更高效的净化能力。

cgxcs01.jpg

cgxcs02.jpg

cgxcs03.jpg

核心优势

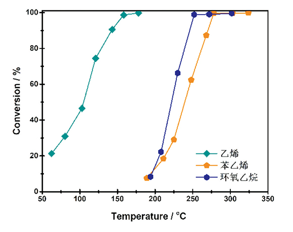
  • 高活性低起燃温度:在250~300°C即可高效催化氧化VOCs,节能降耗
  • 贵金属负载稳定:采用高分散工艺,活性成分利用率高,催化效率持续稳定
  • 结构强度高:蜂窝状结构抗压性能好,适配多种废气处理设备
  • 适应性强:适用于处理S-VOCs、N-VOCs、长链烃、芳香烃等多类复杂有机气体
  • 定制能力强:提供多种尺寸、孔密度(cpsi)及载体材质选择,可按需定制

典型应用行业

制药、印刷、喷涂、电子、石化、油气存储及其他涉及有机废气排放的行业



上一篇暂无

下一篇高效球状VOCs催化剂

在线留言

留言框

  • 产品名称:

  • 您的单位:

  • 您的姓名:

  • 联系电话:

  • 常用邮箱:

  • 省份:

  • 详细地址:

  • 留言内容:

  • 企业名称:

    艾克威环保科技

  • 热线电话:

    18653390106

  • 公司地址:

    山东省淄博市桓台县东岳化工园

  • 电子邮箱:

    kefu@ecovia.cn

扫码关注我们

Copyright © 2017-2025 山东艾克威环保科技有限公司 版权所有  鲁ICP备2025160181号  鲁公网安备37030302001109号  sitemap.xml

TEL:13964301235